- scritto da Giovanna Barbaro
- categoria Leggi e decreti
Il calcolo dei ponti termici con la nuova UNI TS 11300:2014
Con l’ultima revisione della norma EN UNI TS 11300, a ottobre del 2014, sono cambiati diversi criteri nella valutazione della prestazione energetica degli edifici. Vediamo brevemente le novità riguardanti il calcolo del contributo dei ponti termici sia di edifici esistenti che di nuova costruzione.
PONTI TERMICI, CAUSE E CATEGORIE
In generale, dicasi ponte termico quella discontinuità nell’isolamento termico dell’involucro edilizio che si può verificare in corrispondenza degli innesti di elementi strutturali (tra solai e pareti verticali, o tra pareti verticali), vedasi la UNI EN ISO 10211:2008. Le cause dei ponti termici sono sostanzialmente due, o la combinazione di entrambe:
- Eterogeneità della struttura (compenetrazione tra materiali con conduttività termica λ diversa, ad esempio l’esistenza di elementi strutturali in cemento armato, giunti, ecc.);
- Eterogeneità della geometria della struttura (angoli o spigoli interni, variazione dello spessore di una parete d’ambito, ad esempio in corrispondenza delle nicchie per i termosifoni).

Possiamo farci un’idea delle diverse categorie di ponti termici grazie ai cosidetti abachi dei ponti termici. Quello più diffuso tra gli addetti ai lavori è l’Abaco CENED, attualmente è anche uno dei più completi ed è disponibile gratuitamente. Esso contiene, oltre ai fondamenti teorici utili in particolare ai meno avvezzi alla materia, anche 90 diverse tipologie di ponti termici, ciascuna descritta in schede integrate da disegni bidimensionali. L’abaco consente di ricavare le trasmittanze lineiche (Ψ), o lineari, di ciascuna categoria schematizzata a partire da dati, di facile acquisizione: le trasmittanze termiche delle pareti, gli spessori e la conduttività termica degli elementi che compongono la stratigrafia della struttura.
I NUOVI CRITERI DI CALCOLO DEI PONTI TERMICI
Con la revisione delle Parti 1 e 2 della UNI EN ISO 11300 assistiamo dunque all’introduzione di regole più stringenti rispetto a prima. Ai tecnici sarà pertanto richiesto uno sforzo per l’acquisizione di nuove competenze e di un necessario aggiornamento. Vediamo allora quali metodi di calcolo sono ora ammessi:
- il calcolo agli elementi finiti ai sensi della norma UNI EN ISO 10211, non semplicissimo ma abbordabile con limitate conoscenze teoriche;
- il calcolo analitico utilizzando Abachi, o Atlanti, dei Ponti Termici conformi alle norme UNI EN ISO 10211, o 14683, ma con alcune restrizioni, come spiegheremo.
In altre parole, solo per edifici esistenti è ora possibile utilizzare il calcolo analitico basato sull’utilizzo di abachi, escluso però quello della menzionata norma UNI EN ISO 14683:2001 (appendice A) che è abrogato così come anche la maggiorazione percentuale semplificata che si operava (dal 5 al 30%) in base al tipo di nodo strutturale. Dunque, non sarà più lecito indicare “a occhio” le proprietà termofisiche dei componenti ma sarà obbligatorio indicare l'origine dei dati nella relazione di calcolo da allegare all’APE.
I nuovi criteri di calcolo entreranno in vigore con i decreti attuativi della L. 90 del 2013 di conversione del D.L. 63 del 2013 «Disposizioni urgenti per il recepimento della Direttiva 2010/31/UE del Parlamento europeo e del Consiglio del 19 maggio 2010, sulla prestazione energetica nell'edilizia per la definizione delle procedure d'infrazione avviate dalla Commissione europea, nonché altre disposizioni in materia di coesione sociale». (GU n.181 del 3/8/2013).
L’occasione ci è propizia per osservare che tali disposizioni, in quanto incomplete ed eterogenee, semineranno ulteriore confusione tra i portatori d’interesse anziché snellire l’ormai insopportabile burocrazia. Ad ogni modo, sembra che, nelle more della loro pubblicazione, per stilare un APE, potranno essere ancora utilizzati i criteri del vecchio attestato di certificazione energetica (ACE), anche se questo non è più in vigore dalla metà del 2013.
COEFFICIENTE GLOBALE DI SCAMBIO TERMICO
La seguente formula evidenzia i due nuovi parametri introdotti con la revisione della Parte 1 11.1. della UNI EN ISO 11300.

Dove:
H tr,adj coefficiente globale di scambio termico per trasmissione [W/K]
B tr,x fattore di correzione
A L,i area lorda di ciascun componente i termicamente uniforme, che separa l’ambiente climatizzato dall’ambiente esterno
U i trasmittanza termica di ciascun componente i termicamente uniforme, che separa l’ambiente climatizzato dall’ambiente esterno [W/mK]
l k lunghezza del ponte termico lineare [m] nuovo parametro
Ψ k trasmittanza termica lineare del ponte termico [W/mK] nuovo parametro
X j trasmittanza termica puntuale del ponte termico [W/K]
Come si calcola e a che cosa serve la trasmittanza lineare, o lineica (Ψ)? La seguente formula consente di calcolarla, in W/m·K, come il rapporto tra l’incremento del flusso termico Φ (espresso in Watt) - rispetto al valore ottenuto con il calcolo monodimensionale per lo sviluppo di un campo termico bi o tridimensionale (in regime stazionario) - e il prodotto tra la lunghezza caratteristica del ponte termico (LPT) e la differenza di temperatura (Δθ) tra gli ambienti separati dalla struttura oggetto dell’analisi.

Dove:
Ui è la trasmittanza termica dell’i-esimo componente che separa i due ambienti considerati, calcolata in base alla UNI EN ISO 6946:2008
Ii è la lunghezza del modello geometrico a cui si applica il valore Ui, e che risulta essere diversa se si considerano dimensioni misurate dall’interno o dall’esterno. Per tale motivo, quando si determina il valore della trasmittanza lineare, è necessario specificare quali dimensioni (interne o esterne) sono utilizzate, in quanto per diversi tipi di ponti termici il valore della trasmittanza termica lineare dipende da questa scelta (Ψi e Ψe).
N è il numero di componenti (ad esempio 2 per un angolo in cui s’intersecano 2 pareti)
L2D è il coefficiente di accoppiamento termico ottenuto da un calcolo 2D del componente che separa i due ambienti considerati.

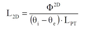
IL COEFFICIENTE DI ACCOPPIAMENTO TERMICO
La seguente formula esprime il coefficiente come il rapporto tra il flusso termico bidimensionale e il prodotto tra la differenza di temperatura interna ed esterna (θi - θe) della struttura e la lunghezza caratteristica, o di influenza, del ponte termico LPT = 1 m, ai sensi della UNI EN ISO 10211:2008. In pratica, è stato dimostrato che, oltre alla lunghezza caratteristica di un metro attorno alla discontinuità di temperatura (ad esempio causata dalla presenza di un pilastro), l’effetto del ponte termico può essere trascurato poiché le isoterme parallele indicano che l’andamento del flusso termico è perpendicolare alla parete (cioè monodimensionale), mentre è sempre parallelo (cioè bidimensionale) in corrispondenza di elementi causanti la discontinuità termica.

Il valore di Φ2D può essere desunto dagli abachi dei ponti termici, oppure mediante il calcolo agli elementi finiti.
ANALIZZARE PONTI TERMICI CON I SOFTWARE
I software per il calcolo dei ponti termici devono essere certificati dal CTI e perciò essere sempre aggiornati. Alcuni sono gratuiti, altri invece costano centinaia di euro e non consentono di calcolare i ponti termici dovuti ai serramenti. Coloro che intendano dedicarsi allo studio dei ponti termici devono mettere in conto anche il costo e il tempo di addestramento, nonché l’acquisto delle norme UNI aggiornate, poiché l’omonimo ente normativo, dal 2015, ha abolito, in modo unidirezionale, i punti di consultazione gratuita anche presso gli Ordini professionali. I software più intuitivi uniscono l’accuratezza e l’adattabilità del modello agli elementi finiti con la semplicità di inserimento dei dati, tipica di un abaco. L’errore di accuratezza con il software è il 15% minore rispetto a quello basato sull’uso dell’abaco dei ponti termici. Tutti i software però consentono di visualizzare, mediante dei grafici, la distribuzione sia del flusso termico - con linee isoterme - che delle temperature - in una scala di colori del tutto simile a quello di una termografia- per ogni punto del nodo architettonico ai fini sia delle verifiche igrotermiche (condensa superficiale e interstiziale) che delle dispersioni termiche (coefficiente di trasmittanza lineica Ψ ).
È dunque possibile analizzare ogni ponte termico in tre passaggi:
- Selezionare una località tra le province italiane, in modo da ottenere la temperatura media della superficie della parete esterna nel mese più freddo e la zona climatica per le verifiche delle trasmittanze limite;
- Selezionare la categoria del ponte termico (pilastro, balcone, spigolo, ecc.) tra quelle previste dalla norma tecnica e quelle proposte dal software;
- Inserire le informazioni sulla conduttività termica dei materiali e la geometria del nodo.
Il risultato del calcolo è una scheda completa del ponte termico analizzato.
In ultima analisi, sulla base del flusso totale uscente dal ponte termico e della differenza di temperatura, tra aria interna ed esterna, viene calcolato il coefficiente di accoppiamento L2D e quindi successivamente i coefficienti lineici interni (Ψi) o esterni (Ψe).
Il valori standard al contorno, impostati per difetto, sono definiti nel DPR 59/09,: 65% di umidità relativa e 20°C la temperatura dell'aria dell’ambiente riscaldato. In funzione di tali valori (modificabili in caso di impianti di condizionamento) si determina il valore limite inferiore della temperatura superficiale, il quale deve essere superato per non incorrere nel rischio di formazione di condensa (13,2°C) e di muffa (16,7°C). Precisiamo che la verifica del rischio di formazione delle maleodoranti muffe non è obbligatoria ma è una raccomandazione igienico sanitaria (UNI EN ISO 13788) che un progettista serio dovrebbe sempre considerare. È perciò opportuno sapere che numerose specie fungine si manifestano già a partire da condizioni di U.R. pari all’75% (Aspergillus versicolor).

CALCOLO DEI PONTI TERMICI AGLI ELEMENTI FINITI
Il metodo si basa sulla suddivisione dell’elemento, del quale si vuole determinare la trasmittanza termica, in piccole celle, o elementi finiti. Più è fine la suddivisione (numero di celle elevato) e più alto sarà il dettaglio risolutivo, ovvero più accurati saranno i risultati. La discretizzazione spinta del modello comporta, di conseguenza, un elevato numero di equazioni da risolvere in quanto il numero delle suddivisioni è proporzionale al numero delle equazioni. La norma UNI EN ISO 10211 stabilisce che il numero di suddivisioni deve essere determinato in modo da minimizzare l’errore percentuale tra due risultati di flussi termici calcolati come segue: il primo con un certo numero di nodi (“n”) e il secondo con un numero di nodi pari al doppio (“2n”). La differenza tra i due flussi termici calcolati non deve superare l’1%, altrimenti dovremmo aumentare il numero delle suddivisioni fino soddisfare il criterio enunciato.
Alcuni ricercatori hanno confrontato i risultati ottenuti con diversi metodi di calcolo e riscontrato che alcuni software, per la determinazione dei ponti termici, sono implementati in modo da permettere una suddivisione automatica, mentre altri consentono all’utente la determinazione del numero dei nodi. In quest’ultimo caso, per ottenere un risultato accurato, non è sufficiente usare un software di calcolo numerico, ma è necessario utilizzare le impostazioni correttamente. Per tale ragione i software allegano, alla relazione di calcolo: il coefficiente di accoppiamento L2D o L3D, il numero di suddivisioni, la trasmittanza termica lineica Ψ (o quella puntuale X) e la differenza dell’errore residuo in funzione dal numero scelto di suddivisioni.
PERCHÈ RIDURRE I PONTI TERMICI
La presenza di ponti termici determina un abbassamento della temperatura superficiale delle pareti, sottraendo calore agli strati d’aria che le lambiscono. Un effetto visibile del ponte termico è la condensa superficiale: quest’ultima è definita come il passaggio di stato fisico da aeriforme (vapore acqueo) a liquido (acqua) causato dal repentino abbassamento della temperatura.
La formazione di muffe dovuta alla condensa superficiale è frequente negli angoli di edifici a struttura intelaiata non adeguatamente isolati termicamente.

Lo scopo ultimo dell’individuazione delle cause di discontinuità nell’involucro edilizio è quello di verificarne la gravità e quindi la correzione. Dicasi ponte termico corretto quella situazione in cui la trasmittanza termica della parete fittizia non supera più del 15% la trasmittanza termica della parete in cui è inserito. La correzione del ponte termico è importante per le seguenti ragioni:
- evitare la formazione di condensazioni superficiali e quindi la comparsa di muffe;
- contenere le dispersioni termiche e quindi risparmiare energia;
- migliorare il comfort indoor, mediante la distribuzione ottimale delle temperature superficiali.